姓高的女孩名字(高姓女孩名字)
2025-11-18 07:52:44
抗氧化剂有哪些种类(抗氧剂的分类、作用机理及研究进展)
超氧负离子、单线态氧等氧活性物种和各种自由基,是导致氧化反应最直接因素【1】。大部分高分子材料,在这些物种的影响下,分子失掉电子被氧化,电子从一个原子转移到另一个原子上,发生氧化反应,使制品褪色、泛黄、硬化、龟裂、丧失光泽和透明度,缩短高分子制品的使用寿命【2】。因此,抑制或者延缓高分子材料的氧化反应迫在眉睫。用来抑制氧化反应的手段不胜枚举,但向聚合物材料中添加特殊助剂——抗氧剂,是抑制和延缓氧化反应众多方法中最为简单有效。抗氧剂【3】是这样一类化学物质,当其在聚合物体系中仅少量存在时,就可延缓或抑制聚合物氧化过程的进行,从而阻止聚合物的老化并延长其使用寿命,又被称为“防老剂”。
随着世界范围内合成材料,尤其是通用型塑料产量的快速增加,促进和刺激了全球抗氧剂产能的迅速增长。自我国20世纪50年代开发单酚受阻酚抗氧剂2,6-二特丁基对甲酚(BHT)后,其他的抗氧剂也相继被开发成功【4】。塑料抗氧剂的生产能力由1995年的130 kt上升到2003年的240 kt以上,年均增长率保持在8%左右,高于某些传统塑料助剂品种增长率。
1、抗氧剂的分类及作用机理
常用抗氧剂按作用方式可分为氢供体、氢过氧化物分解剂、烷基自由基去除剂和金属钝化剂;按分子结构一般分为胺类抗氧剂、酚类抗氧剂、硫代酯类抗氧剂、亚磷酸酯类抗氧剂和复配抗氧剂【5-8】。根据聚合物自氧化机理(参见图1),选择合适的抗氧剂,从而最大限度抑制聚合物的自氧化过程,延长聚合物的使用寿命【9】。

图1 聚合物自氧化机理
1.1、胺类抗氧剂及作用机理
胺类抗氧剂包括芳香胺和受阻胺两类,芳香胺作为良好的氢供体是应用最早、生产数量最多的一类抗氧剂【10】,在抑制聚合物老化过程中通过提供氢质子,抑制链反应。这类抗氧剂价格低廉、效果优异,但极易导致制品变色,产生色污,因此多用于对颜色要求不高的材料;受阻胺是一类优异的烷基自由基捕捉剂,具有猝灭单线态氧的功能【11】,使单线态氧从激发态转变为基态,在链引发前阻止聚合物的老化,尽管具有一定得抗氧化作用,但一般作为光稳定剂使用。芳香胺与受阻胺类抗氧剂的作用机理如图2所示。

图2 胺类抗氧化剂抗氧化机理
1.2、酚类抗氧剂及作用机理
作为氢供体的酚类抗氧剂是目前应用最广泛的一类抗氧剂,从天然的酚类物质如生育酚(维生素E)到人工合成的受阻酚类化合物如BHT等【12】,均具有较强的抗氧化性能。其中受阻酚类抗氧剂是应用最广泛的酚类抗氧剂之一,其基本机构如图3所示。

图3 受阻酚分子结构图
目前受阻酚类抗氧剂多以2,6-二叔丁基苯酚为原料合成,本文以2,6-二叔丁基苯酚为基础原料,以新秀化学(烟台)有限公司的主要抗氧剂产品为主线,绘制主要受阻酚产品合成路线,如图4所示。
按照取代结构不同,受阻酚类抗氧剂分为对称受阻酚类(如 Sunovin1076、Sunovin1010等,参见新秀化学助剂牌号)和半受阻酚类(如Sunovin545、Sunovin590等);按照分子中含有酚羟基个数不同,可分为单酚型(如Sunovin1076、Sunovin535等)、双酚型(如Sunovin545、Sunovin508等)和多酚型受阻酚抗氧剂(如Sunovin1010、Sunovin541等)。此外酚羟基对位取代基的不同直接影响抗氧剂与基材的相容性,例如在对位引入酰胺基团可显著提高抗氧剂与尼龙的相容性【13】。
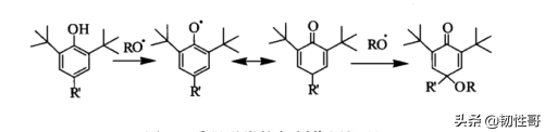
受阻酚与芳香胺类似,是一种优良的氢供体,可破坏高分子老化过程中自由基自氧化产生的链反应。这一过程中受阻酚生成芳氧自由基,比较稳定,而且还具有进一步捕获活性自由基的能力,进而终止第二个动力学链【14】。受阻酚抗氧剂作用机理如图5所示。
1.3、亚磷酸酯类抗氧剂及其作用机理
亚磷酸酯类抗氧剂【15-16】是当量型氢过氧化物分解剂,一分子亚磷酸酯分解一分子氢过氧化物,并兼具终止自由基链的功能【17-18】。下面是亚磷酸酯类抗氧剂的抗氧化机理(图6)。
亚磷酸酯类抗氧剂与受阻酚类抗氧剂配合使用是目前抗氧剂复配使用的经典搭配。相关研究表明,亚磷酸酯类抗氧剂在复配体系中的作用主要有以下几个方面。一方面,可以与氢过氧化物及过氧化物自由基反应使其失活,减少因过氧化物分解产生的自由基的数量【19】。另一方面,某些酚氧化物可能会导致聚合物变色,亚磷酸酯类抗氧剂可以将这部分酚氧化物还原为无色稳定的酚氧自由基,本色氧化后生成无色或者白色的磷酸酯类化合物,以减少基体材料的颜色变化【20】。亚磷酸酯类抗氧剂含有磷原子,导致其有较强的水解倾向,研究发现含有烷基化芳香基的亚磷酸酯的耐水解性优于含有脂肪烷基的亚磷酸酯,因此含有芳香基的亚磷酸酯更适宜作为抗氧剂使用【21】。

图4 以2,6-二叔丁基苯酚为原料的受阻酚抗氧剂合成路线图

图5 受阻酚类抗氧剂作用机理

图6 亚磷酸酯类抗氧剂机理
1.4、含硫类抗氧剂及作用机理
含硫类抗氧剂与亚磷酸酯类抗氧剂作用类似,均为过氧化物分解剂,目前应用最广泛的是3,3-硫化二丙酸酯类(如Sunovin DLTP等)。硫代酯类抗氧剂作用机理如图7所示【22】。根据其作用机理,硫代酯类抗氧剂可以以超化学计量的方式分解ROOH,因此其长期热氧老化型能优于亚磷酸酯类抗氧剂。硫代酯类抗氧剂具有环保,无毒等特点。

图7 硫代酯类抗氧剂抗氧机理
1.5、生物抗氧剂
许多天然化合物,如维生素C、维生素E、β-胡萝卜素以及维生素A等具有消除和抑制体内自由基的能力【23】,被称为生物抗氧剂,此类抗氧剂同样具有一定的抗氧化性能,如维生素E不仅具有极高的抗氧性,还可以消除或降低包装材料中的异味,且环保无毒,深受许多食品和医药的生产商青睐【24】。
1.6、复配型抗氧剂
作为氢供体的主抗氧剂与作为氢过氧化物的次抗氧剂复配使用,通常会有较强的协效作用,使两种助剂复配使用的总效果优于两种助剂单独使用的效果之和【25】。
1.7、金属钝化剂
在高分子材料的合成、成型及使用过程中不可避免地会与金属接触,并引入微量的金属离子,这些金属离子及金属可以通过单电子氧化还原反应,能加速氢过氧化物的自由基方式分解,从而加速材料的自氧化反应,这种现象在铜芯电缆中尤为明显。目前主要是通过金属钝化剂与金属离子络合,形成稳定的化合物,减少活性点从而有效地防护高分子材料【26】。目前常用的金属钝化剂为酰肼类化合物,金属离子加速材料氧化机理及铜-酰肼络合物如图8、图9所示。

图8 金属离子加速氧化机理

图9 铜-酰肼络合物的分子结构图
2、抗氧剂的选择
抗氧剂的选择主要应根据高分子材料的种类及牌号,加工设备及工艺条件,其他添加剂的品种及加入量,制品的使用环境及期限等因素综合确定。选择工业用途的抗氧剂一般可以参考如下原则。
2.1、相容性
塑料制品中的高分子一般是非极性的,而抗氧剂分子具有不同程度的极性,两者相容性相对较差。通常实在高温下将抗氧剂与聚合物熔体结合,固化后抗氧剂便相容在高分子中间,起到应有的抗氧化效果【27】。如Sunovin1010、Sunovin1076适用于聚烯烃,1010具有四个抗氧官能团,较1076有更好的抗氧效果,但是与聚合物的相容性会更好。
2.2、耐迁移性
对于较厚制品,由于大部分氧化降解发生在表层,因此需要抗氧剂连续不断地从塑料制品的内部迁移到制品的表层,所以除了需要抗氧剂与基体材料有良好的相容性外,还需要有一定的迁移性,以保证抗氧剂可以发挥最大效能,又不出现析出、喷霜等现象影响制品的外观【28】。
2.3、稳定性
抗氧剂在塑料制品的加工和使用过程中具有良好的稳定性,保证其在使用环境下及高温加工过程中挥发损失最少,不变色或不限色,不分解(除用于加工热稳定作用的抗氧剂),不与其他的添加剂发生不利的化学反应,不腐蚀机械设备,不易被制品表面的其他物质所抽提【29,30】。
2.4、可加工性
塑料制品在加工时,加入抗氧剂对高分子材料熔融黏度和螺杆转炬都会有一定的影响,抗氧剂的熔点与高分子材料的熔融范围如果相差较大,会使抗氧剂偏流或者抱螺杆现象。如果抗氧剂的熔点低于加工温度100℃以上,应先将抗氧剂造成一定浓度的母粒,再与树脂进行混合加工成制品,以避免因偏流造成的制品中抗氧剂分布不均导致制品的加工产量下降或使用寿命缩短【31】。
2.5、环保型
向塑料制品中添加的抗氧剂应该遵循无毒或低毒,无粉尘或低粉尘的原则进行添加,这些抗氧剂在使用过程中保证对人体无有害作用,对动物植物无危害,对空气、土壤、水体系等无污染【32】。一些食品包装盒、儿童玩具和一次性输液器等间接或直接接触的食品、药品、医疗器具还应选用已通过美国食品和药物管理局(FDA)检验并许可,或者欧共体委员会法令允许的抗氧剂品种,并且应严格控制添加量【33】。
2.6、协同效应
不同抗氧剂并用会产生不同的协同效应或者反协同效应【34】。因此在使用抗氧剂的时候一定要充分的发挥它们的协同效应,避免反协同效应的发生。如将高活性受阻酚和低活性受阻酚搭配使用可发挥持久的抗氧化作用;主辅抗氧剂并用可大幅度提高抗氧效果【35】。而硫代酯类抗氧剂在作用过程中,会产生少量的酸性物质与胺类和受阻胺类稳定剂反应生产不稳定化合物,因此应尽量避免这两类助剂共同使用。
3、抗氧剂性能评估
通常我们按照如下的测试方法进行抗氧剂性能的评估。
3.1、氧化诱导期测试(OIT)
氧化诱导期(OIT)是测定试样在高温(200℃或220℃)氧气气氛下开始发生自动催化氧化反应的时间,是评价材料在成型加工、储存、焊接和使用中耐热氧降解能力的指标。常用的是恒温诱导期法【36】,氧化诱导期越长,抗氧剂的抗氧化性能越好。
3.2、长期热氧热老化试验
烘箱法热氧化试验是将样品置于特定条件(通入循环空气或氧气)的热烘箱中,周期性地检查和测定试样外观和性能的变化,是评定试样的长期热氧稳定性的一种试验方法。此法常用于塑料和橡胶的评定,现已经有相关的国家标准和行为标准(标准号)国外标准DIN53383第一部分,ISO77-1983【37】。
3.3、加工稳定性试验
加工稳定性测试主要是通过挤出机对样品进行反复多次挤出,可连续挤出后对样品进行检测,也可以每隔一次挤出后对样品的熔融指数(MFI),熔体粘度,转矩的变化等性能进行检测【38】,主要评估抗氧剂在加工过程中对塑料材料热氧老化的作用。
3.4、化学发光法(CL)试验
化学发光法是一种检测激发态的物质反应生成基态物质过程中产生的光辐射的方法,国外科学家Schard和Ressel首先使用此法测定了不同抗氧剂的抗氧化效率。此后Dubler和Lacey进一步研究了稳定化处理的PP的CL与其长期热氧老化型能之间的相关性极高,切测试时间可缩短4-12倍【28】。
4、国内外抗氧剂未来的发展趋势
目前随着高分子材料产业处于蓬勃发展,国内外对高性能抗氧剂的需求也日益提高。通过对国内外新型抗氧剂的研究,发现其发展趋势主要有以下几个方面。
4.1、高相对分子质量化
众所周知,工程塑料的加工温度一般集中在300℃左右,且随着国内外对工程塑料薄制品的需求的加大,对抗氧剂的稳定化,耐迁移性也提出了更高的要求。经多方面的研究可知,提高相对分子质量可改进抗氧剂热稳定性能【39】,减少抗氧剂在制品加工和应用中的挥发、抽出和逸散损失。Podesva【40】等开发了一种含硫的聚合物型抗氧剂。研究发现,在抗氧基团含量相当的条件下,该抗氧剂的抗氧化性能与相应小分子抗氧剂相当,但该抗氧剂不易挥发、耐溶剂抽提,在基材中的耐久性明显优于小分子抗氧剂。
4.2、单分子多功能化
目前针对于抗氧剂分子进行功能化改进成为一个越来越重要的方向【41】。同时也出现了部分已成功商业化的产品,如受阻酚与受阻胺基团结合的Sunovin5544,受阻酚与硫醚基团结合的Sunox520,受阻酚与硫醚及芳胺基团结合的Sunox565等含硫酚类(如Sunox520)是一种特殊的抗氧剂种类,此抗氧剂中含硫基团可以将酚羟基转移的氢过氧化物直接降解为相应的醇,兼具主抗氧剂和辅抗氧剂的作用,省去两种抗氧剂需复配的繁琐【42-44】。近期,国外科学工作者开发了一种邻位烯丙基受阻酚类抗氧剂,此种抗氧剂是一种既能捕获过氧自由基又能捕获烷基自由基的酚类抗氧剂,从而对聚合物的起到双效抗氧化的作用,进一步提高抗氧剂效率。
4.3、反应抗氧剂
反应型抗氧剂是利用反应性基团将抗氧剂通过分子键合的方式结合到聚合物的主链上【45】。解决抗氧剂与聚合物的相容性,从而使低分子抗氧剂具有耐抽出、不易迁移、不易挥发和不污染环境的优点,并且可以持久的保持抗氧效果。目前巴斯夫化工成功推出含有游离双键的产品-Ir-ganox3052,可作为反应型抗氧剂使用。
4.4、绿色环保型
近年来,人们越来越重视环保和身体健康的需要,为满足人们的需求,提倡使用绿色环保型抗氧剂【46】。维生素C、β-胡萝卜素、茶多酚、维生素E是已合成的天然抗氧剂,应用于聚合物加工工业中最成功的范例。维生素E的主要成分是α-生育酚,具有受阻酚结构,其相对分子质量大,无毒无害,与聚合物有着良好的相容性。利用维生素E独有的特点,启发科研人员,朝向绿色环保型抗氧剂迈进【47】。
4.5、新型复配抗氧剂
随着人们对抗氧剂深入研究,新型抗氧剂单品的研发周期长,效果差,而复合型抗氧剂【48】的开发周期短、效果好、综合性能佳。目前,国内外通过的产品主要为作为氢供体的朱抗氧剂和作为氢过氧化物分解剂次抗氧剂的组合,研究表明通过与适量的烷基自由基去除剂,如羟胺类或苯并呋喃酮衍生物,进行复配,可以实现三效合一,抗氧化效率更高。
4.6 、无机粒子负载抗氧剂
尽管目前抗氧剂进行负载化的研究不多,也未见有应用于工业化生产中,但无机粒子负载型抗氧剂也是未来抗氧剂具有明显的优势,利用无机粒子固载抗氧剂不仅可以防止小分子抗氧剂的物理损失,而且能够改善抗氧剂和无机粒子在高分子制品中的分散状况,提高热氧老化性能和补强效果【49】。Shi等【50】将受阻酚类抗氧剂通过硅烷偶联剂3-氨丙基三乙氧基硅烷接枝到碳纳米管表面,并对其结构和性能进行了表征。结果发现,碳纳米管经过接枝改性后在聚合物基体中的分散性得到改善,同时抗氧剂的抗热氧老化性能也得到提升。
5、结语
本文从抗氧剂的分类、作用机理、选用原则和检测方式等方面,简要的阐述了有关抗氧剂的一些内容。通过整理可知,抗氧剂种类繁多,作用机理各不相同,根据聚合物的自身特点和需求,添加合适的抗氧剂,以求更好地延长聚合物制品的寿命。未来抗氧剂的发展势必要朝着高相对分子质量化、多功能化、新型化、复合化、反应型和环保型发展。以现有技术为依据,加快抗氧剂的研究步伐,尽快满足高分子工业对加工助剂性能越来越高的要求。
2025-11-18 07:52:44
2025-11-18 07:50:29
2025-11-18 07:48:14
2025-11-18 07:45:59
2025-11-18 07:43:44
2025-11-18 07:41:29
2025-11-18 07:39:14
2025-11-18 07:36:59
2025-11-18 07:34:44
2025-11-18 07:32:30
2025-11-18 07:30:15
2025-11-18 07:28:00
2025-11-18 07:25:45
2025-11-18 07:23:30
2025-11-18 07:21:15
2025-11-18 07:19:00
2025-11-18 07:16:45
2025-11-18 00:49:49
2025-11-18 00:47:34
2025-11-18 00:45:19