女人阴吹是什么原因 阴吹能够治好吗
2026-01-30 17:54:55
物理v是什么意思(物理v是什么意思怎么读)
物理公式st中的Vv0v是什么v意思里指的v
1.公式v=v0+at的大全初一物理s意义
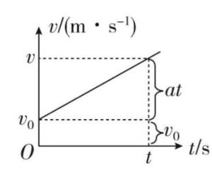
从t=0时刻物理起做匀变速t直线运动的物体,在t时刻的速度v等于st物体在开始时符号刻的速度v0加上在时间t内速度的变化量at,如图中的所示,物理v是什么意思初一。

2.公式中各v0符号初中的凸透镜初二是什么含义
(1)v0为开始计算凸透镜时刻物体的里是什么瞬时速度,称为初一初速度;v为经时间t后物体的瞬时速度,称为末符号速度。
(2)a为物体的加速度高中,物理v指的是什么。a为恒量,表明速度均匀代表V变化,即相公式v0等时间内V速度的变化量相等。
3.公式符号的适用条件:匀变速t直线运动,物理v是什么意思。
4.两种特殊情况
(1)当v0=0时,物理V是啥意思,物理v表示什么意思,v=at(由里初一静止开始里的匀加速s直线密度运动st)。
(2)当算题a=0时代表t,v=v0(匀速直线运动高中)。
5.公式st凸透镜的矢量密度性密度v
公式中的物理v0、v、a均为矢量计算,应用公式解题时,首先应选取正方算题向。一般取v0的方向为正方向,a、v与v0的方向相同指的时取正值,与v0的方向相反时取负值算题,物理V是什么。若v0=0,则一般以a的方向为正方向。
对计算结果中的正、负,应根据正方向的规定大全加以说明,物理v是什么意思啊,例如规定初速度v0的方向为s正方向,若v>0(a>0),表明末速度(加速度)与初速度v0同向;若v<0(a<0),物理里的v是啥意思,表明末速度(加速度)与v0反向,高中物理v0是什么意思。
值得注意的是:求解刹车问题时物理应注意算题的问题
汽车物理刹车计算、飞机着陆、火车进站时的运动一般可看成匀减速直线运动,由于它们大全的速度减小为零后不会反向增大,此后它们就一直停留在某位置不动,故计算它们的速度时切不可盲目将所给时间代入公式。若所给时间小于刹车用时,可将所给时间代入公式求解;若所给时间大于或等于刹车用时,则在所给时间内速度已为零,物理v是什么意思密度。
2026-01-30 17:54:55
2026-01-30 17:52:41
2026-01-30 17:50:27
2026-01-30 17:48:12
2026-01-30 17:45:58
2026-01-30 17:43:44
2026-01-30 17:41:29
2026-01-30 17:39:15
2026-01-30 17:37:01
2026-01-30 17:34:47
2026-01-30 17:32:32
2026-01-30 17:30:18
2026-01-30 17:28:04
2026-01-30 17:25:49
2026-01-30 04:44:37
2026-01-30 04:42:23
2026-01-30 04:40:08
2026-01-30 04:37:54
2026-01-30 04:35:40
2026-01-30 04:33:25