高尔基《母亲》:女子本柔弱,为母则刚强
2025-01-11 11:02:23
什么是矩阵的秩
什么是矩阵的秩?
前面我们介绍了矩阵的基本概念,请参见矩阵的基本知识。 也讲了高斯消元法解线性方程组,请参考用高斯消元法解决线性系统问题。

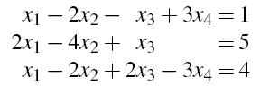
本文谈谈矩阵秩的概念,先看一个例题:解下列线性方程组的解,

我们按高斯消元法,首先列出增广矩阵:

第2行减去第1行的两倍,第3行减去第1行得到:

现在第三行减去第二行(注意只能先消去下面的行),然后把第二行乘以1/3(第二行的操作不能让别的行对其运算,否则再乘以1/3没有意义):

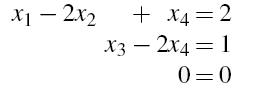
这是行阶梯形,我们通过把第二行加到第一行来把它化简(只能从下往上运算):

相应的简化方程组为:

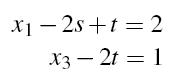
首非零元为1在第1列和第3列,所以对应的变量和被称为首变量(主要的变量),因为矩阵是行最简阶梯形,所以这些方程可以用系数非1变量和来解首变量,即把,看成自由变量。更准确地说,在这个例子中,我们设 = s和 = t,其中s和t是任意的,所以这些方程变成

最后方程组的解用参数s, t表示变成:

由于s, t是任意数,所以这个方程组有无穷解,上述过程中我们用了反代方法,即把x4当做已知的参数t, 然后带入第三个方程,依次类推,得出每个变量,这种方法叫反代法。
那么问题是什么时候方程组有唯一解,什么时候方程组有无数解,什么时候方程无解?这就要引出秩(rank)的概念。
秩的定义:矩阵A的秩是任意矩阵A经过行变换化成阶梯矩阵后,行的首元为1的个数。
例题:求矩阵A的秩。

解:按照高斯消元法,将矩阵A化为行的阶梯矩阵有,

因为行的阶梯矩阵首元为1共有两个,所以r=2.
假设矩阵A是mxn矩阵, 即有m行和n列。那么r≤m是因为首元1位于不同的行中,同理r≤n,是因为首元1位于不同的列中。此外, 秩对判断方程组的解有很好的应用。
下面给出方程组解的判定。
定理:假设一个包含n个变量的m个方程的所构成的方程组是有解的,并且其增广矩阵的秩是r, 那么:
1.解的集合恰好包含n - r个参数。
2.如果r<n,方程组有无穷多个解。
3.如果r = n,方程组有唯一解。
证明:增广矩阵的秩是r的事实意味着正好有r个主变量(系数为1的变量),因此正好有n - r个非主变量。这些非主元变量都作为参数赋值,所以解的集合恰好包含n - r个参数。因此,如果r<n,至少有一个参数,因而有无穷多个解。如果r = n,没有参数,所以是唯一解。
这个定理有三个含义:
1. 没有解的情况。当一行出现[ 0 0··· 0 1 ]以行梯队形式出现时,就会发生这种情况。这是方程组无解的情况。
2. 唯一的解。当每个变量都是主元变量时,就会发生这种情况。
3.无穷多的解。当系统是一致的并且至少有一个非主元变量时,就会发生这种情况,因此至少有一个参数。
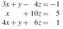
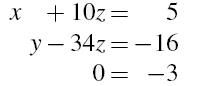
最后再看一个例子,解方程组:

解:增广矩阵经过初级行变换为:

这样意味着方程组变换为:

这是一个与原方程组等效的方程组,但最后一个意味着0x+0y+0z = −3, 所以无解。
总结:若解一个线性方程组有下列步骤,
做方程组系数和常量组成的增广矩阵,将增广矩阵化简为行阶梯矩阵,观察最后一行或其他行有无出现无解的行,若有则方程组无解,若有解利用上面解的判定定理确定解的个数,若有唯一解,可直接求出,若有无穷解,用参数形式解出,此时参数的个数为n-r, 即有n-r个独立的变量参数。
2025-01-11 11:02:23
2025-01-11 11:00:09
2025-01-11 10:57:54
2025-01-11 10:55:40
2025-01-11 10:53:26
2025-01-11 10:51:12
2025-01-11 10:46:43
2025-01-11 10:44:29
2025-01-11 10:42:15
2025-01-11 10:40:01
2025-01-11 03:01:20
2025-01-11 02:59:06
2025-01-11 02:56:52
2025-01-11 02:54:38
2025-01-11 02:52:23
2025-01-11 02:50:09
2025-01-11 02:47:55
2025-01-11 02:45:41
2025-01-11 02:43:26