「趣乡村」宜州怀远古镇
2024-12-17 03:59:31
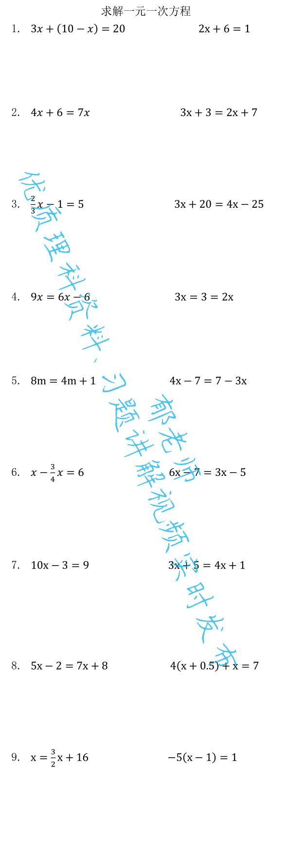
100多道一元一次方程求解题 赶快收藏吧
应各位家长要求,现发布一元一次方程求解题,其中带百分号的题来源于一元一次方程应用---打折销售。考虑到学生对于应用题较复杂方程的处理方法不足,特针对性出题,以此强化训练
上题








请多多关注《郁老师》
优质理科资料、习题讲解视频实时发布···········
敬请关注
如需获取电子版习题,请关注后私信:求解一元一次方程
2024-12-17 03:59:31
2024-12-17 03:57:16
2024-12-17 03:55:02
2024-12-17 03:52:48
2024-12-17 03:50:34
2024-12-17 03:48:20
2024-12-17 03:46:05
2024-12-17 03:41:37
2024-12-17 03:39:23
2024-12-17 03:34:54
2024-12-17 03:32:40
2024-12-17 03:30:25
2024-12-17 03:28:11
2024-12-16 19:49:18
2024-12-16 19:47:04
2024-12-16 19:42:36
2024-12-16 19:40:21