草帽海贼团最新悬赏令来了!!
2025-05-16 21:44:52
高考数学:你会用洛必达法则吗?
有一道这样的题:

对于恒成立问题,我们首先尝试分离参数的办法。
为把m分离出来,我们需要做一些等价变形。

上面的变形过程中,对x是否等于0不可遗漏。
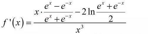
研究函数f(x)最大值的方法当然还是求导数。

为简化研究过程,我们把分子部分看作一个新函数.这也是导数部分的常用技巧之一。

这里的技巧之二就是抓特殊点的函数值,本题g(0)=0,g'(0)=0。
如法炮制,我们把分子部分再次看作一个新函数。

显然,函数h''(x)有唯一零点0.由此我们能够逐步地反推出原函数f(x)的单调性。
这个过程非常有趣。

从上面的分析我们知道,f'(x)的符号是由分母决定的。

这种情况下,怎么可能求出最值呢?
我们注意到:
这使我们想到“洛必达”法则。首先我们要了解这个法则的使用条件。
当我们遇到除式形如“零比零”、或者“无穷比无穷”、或者“零乘以无穷”的时候,可以采用洛必达法则求出它的极限值.请注意,“零乘以零”,“无穷乘以无穷”的形式,不用洛必达法则。
当满足这个条件时,极限值可以通过对分子和分母同时求导得到。

由此,我们求出m的取值范围。
当然,本题不用分离参数的办法,而是采用含参讨论的方法也能做,也不算太麻烦。
而且,在高考中用洛必达法则是有风险的。
在中学阶段还是以讨论法为主.因为它保险。
2025-05-16 21:44:52
2025-05-16 21:42:38
2025-05-16 21:40:24
2025-05-16 21:38:10
2025-05-16 21:35:55
2025-05-16 21:33:42
2025-05-16 12:19:08
2025-05-16 12:16:54
2025-05-16 12:14:39
2025-05-16 12:12:25
2025-05-16 12:10:11
2025-05-16 12:07:56
2025-05-16 12:05:42
2025-05-16 12:03:28
2025-05-16 12:01:14
2025-05-16 11:58:59
2025-05-16 11:56:45
2025-05-16 11:54:30
2025-05-16 11:52:16
2025-05-16 11:50:02